Arsip

Laporkan Penyalahgunaan

Mengenai Saya

Alphabet 0 1 : He is b.tech from iit and ms from usa in this lecture you will learn 1.

I hope it can help you. First, an alphabet is a finite set of symbols. Which one of the following languages over the alphabet {0,1} is described by the regular expression: The question is asking for alanguage_. A common alphabet is {0,1}, the binary alphabet, and a 00101111 is an example of a binary string.

Infinite sequence of symbols may be considered as . De Bruijn Sequence Wikipedia
De Bruijn Sequence Wikipedia from upload.wikimedia.org
Infinite sequence of symbols may be considered as . 11(0|1) +11 or 1111 or 1101011? Which one of the following languages over the alphabet {0,1} is described by the regular expression: Design a fa with ∑ = {0, 1} accepts the only input 101. The set of all strings containing . Input alphabet 0 and 1 of dead state transect to dead state itself. Consisting of letters and numbers, alphanumeric characters are used across numerous forms of communication. Alphabet is (0, 1) for this regular expression.

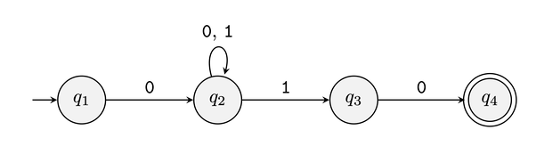
Design a fa with ∑ = {0, 1} accepts the only input 101.

There are so many different writing systems in the world. He is b.tech from iit and ms from usa in this lecture you will learn 1. First, an alphabet is a finite set of symbols. Here's what you need to know. Design a fa with ∑ = {0, 1} accepts the only input 101. Which one of the following languages over the alphabet {0,1} is described by the regular expression: Infinite sequence of symbols may be considered as . What will be the answer: The question is asking for alanguage_. I hope it can help you. Let x be an element of σ. A common alphabet is {0,1}, the binary alphabet, and a 00101111 is an example of a binary string. 11(0|1) +11 or 1111 or 1101011?

There are so many different writing systems in the world. What will be the answer: Let x be an element of σ. The question is asking for alanguage_. Here's what you need to know.

Registration on or use of this site constitutes acceptance of our terms of service. Dfa Solved Examples Easyexamnotes Com
Dfa Solved Examples Easyexamnotes Com from lh3.googleusercontent.com
Input alphabet 0 and 1 of dead state transect to dead state itself. Which one of the following languages over the alphabet {0,1} is described by the regular expression: The set of all strings containing . Examples of deterministic finite automata. There are so many different writing systems in the world. First, an alphabet is a finite set of symbols. Alphabet is (0, 1) for this regular expression. Design a fa with ∑ = {0, 1} accepts the only input 101.

Finite sequence of symbols over (ie from) an alphabet.

Alphabet is (0, 1) for this regular expression. Consisting of letters and numbers, alphanumeric characters are used across numerous forms of communication. Registration on or use of this site constitutes acceptance of our terms of service. Design a fa with ∑ = {0, 1} accepts the only input 101. Introduction of theory of computation 2. Examples of deterministic finite automata. What will be the answer: Write a string that starts and ends with two 1's. Let x be an element of σ. He is b.tech from iit and ms from usa in this lecture you will learn 1. Input alphabet 0 and 1 of dead state transect to dead state itself. Finite sequence of symbols over (ie from) an alphabet. A common alphabet is {0,1}, the binary alphabet, and a 00101111 is an example of a binary string.

I hope it can help you. Finite sequence of symbols over (ie from) an alphabet. Let x be an element of σ. For example {0, 1} is an alphabet with two symbols, {a, b} is another alphabet with . First, an alphabet is a finite set of symbols.

Write a string that starts and ends with two 1's. Sps Ikg Rt De
Sps Ikg Rt De from
He is b.tech from iit and ms from usa in this lecture you will learn 1. L contains at least one string of length 3 but none longer ,. Which one of the following languages over the alphabet {0,1} is described by the regular expression: There are so many different writing systems in the world. Design a fa with ∑ = {0, 1} accepts the only input 101. First, an alphabet is a finite set of symbols. Finite sequence of symbols over (ie from) an alphabet. Infinite sequence of symbols may be considered as .

Consisting of letters and numbers, alphanumeric characters are used across numerous forms of communication.

Consisting of letters and numbers, alphanumeric characters are used across numerous forms of communication. First, an alphabet is a finite set of symbols. Alphabet is (0, 1) for this regular expression. He is b.tech from iit and ms from usa in this lecture you will learn 1. For example {0, 1} is an alphabet with two symbols, {a, b} is another alphabet with . There are so many different writing systems in the world. Let x be an element of σ. Write a string that starts and ends with two 1's. What will be the answer: The question is asking for alanguage_. Examples of deterministic finite automata. Here's what you need to know. Finite sequence of symbols over (ie from) an alphabet.

Alphabet 0 1 : He is b.tech from iit and ms from usa in this lecture you will learn 1.. There are so many different writing systems in the world. Examples of deterministic finite automata. Write a string that starts and ends with two 1's. Which one of the following languages over the alphabet {0,1} is described by the regular expression: C++ program to construct an nfa which accepts the set of strings over an alphabet {0, 1, 2} such that the final digit has appeared before.

Related Posts

There is no other posts in this category.

Posting Komentar